2023 春招面试题 js部分
1.undefined和null有什么区别?
在了解它们之间的差异之前,我们首先要了解它们之间的相似之处。
- 它们都属于 JavaScript 的 7 种原始类型当中。
string、number、null、undefined、boolean、symbol、bigint
- 它们是虚值。使用Boolean(value) 或!!value 将其转换为布尔值时计算结果为 false的值

让我们来谈谈两者的差异
- undefined是尚未分配特定值的变量的默认值。或者没有明确显式console.log(1)返回值的函数,或对象中不存在的属性。JavaScript 引擎为我们分配了undefined值。

- null是 “不代表任何值的值”。 null已被明确定义为变量的值。在此示例中,当fs.readFile该方法不抛出错误时,我们得到一个null值。

比较null和undefined时,我们得到了我们得到true,当我们使用和false时,我们同时也在使用时=

2. &&运算符是做什么的?
&&或逻辑AND 运算符在其操作数中找到第一个falsy表达式并返回它,如果未找到任何 falsy 表达式,则返回最后一个表达式。它采用短路来防止不必要的工作。在我的一个项目中关闭数据库连接时,我在catch块中使用它。

使用 if 语句

使用&& 运算符

3. ||运算符是做什么的?
||或逻辑OR 运算符在其操作数中找到第一个真表达式并返回它。这也使用短路来防止不必要的工作。在支持 ES6 默认函数参数之前,它以前用于初始化函数中的默认参数值。

4.使用 + 或一元加号运算符是将字符串转换为数字的最快方法吗?
根据 MDN文档,+是将字符串转换为数字的最快方法,因为如果它已经是一个数字,它不会对该值执行任何操作。
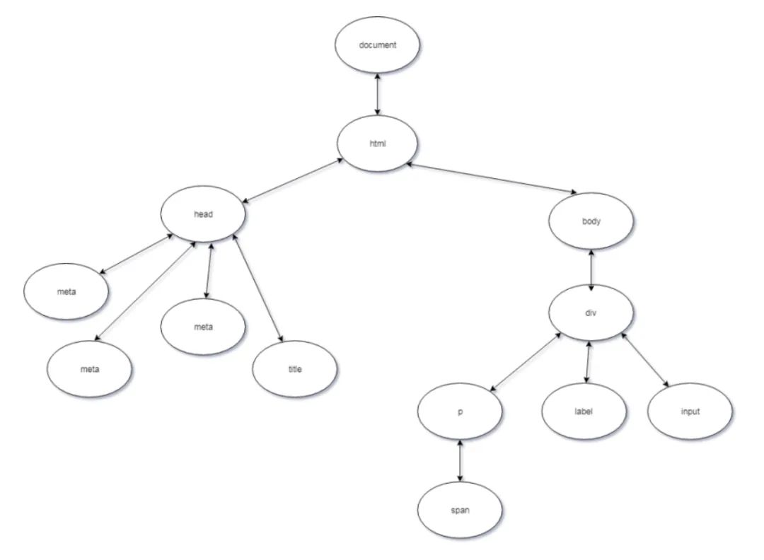
5. 什么是dom?
DOM 代表文档对象模型是HTML 和XML 文档的接口 (API)。当浏览器第一次读取我们的HTML文档时,它会创建一个大对象,一个基于HTML文档的非常大的对象,这就是DOM。它是从HTML文档建模的树状结构。DOM 用于交互和修改 DOM结构或特定的元素或节点。
想象一下,如果我们有一个这样的HTML结构。

DOM 相当于是这样的。

document在JavaScript 中的对象表示 DOM。它为我们提供了许多方法,我们可以用来选择元素以更新元素内容等等。
6.什么是事件传播?
当一个事件发生在 DOM 元素上时,该事件不会完全发生在一个元素上。在冒泡阶段,事件冒泡或传到它的父级、祖父母、祖父母的父级,直到一直到达,而在捕获阶段,windowwindow事件从下到触发事件的元素或事件目标 。
事件传播有三个阶段。
1)捕获阶段 – 事件从window然后向下到每个元素,直到到达目标元素。
2)目标阶段 – 事件已到达目标元素。
3)冒泡阶段 – 事件从目标元素向上冒泡,然后每个元素上升,直到到达window。

7.什么是事件冒泡?
当一个事件发生在 DOM 元素上时,该事件不会完全发生在一个元素上。在冒泡阶段,事件冒泡,或者它去它的父,它的祖父母,它的祖父母,它的祖父母的父母,直到它一直到达window。
我们有这样的示例标记

还有js代码

addEventListener方法有第三个可选参数(默认为 false)用户捕获false带有默认值的事件将发生在冒泡阶段,如果true发生在事件捕获阶段,如果我们单击它记录的child元素和分别在window document html grandparent parent child上,这是事件冒泡
8.什么是事件捕获?
当一个事件发生在 DOM 元素上时,该事件不会完全发生在一个元素上。在捕获阶段中,事件从一直到触发事件的元素开始。
如果我们有这样的示例标记。

还有我们的js代码。

该方法具有第三个可选参数 useCapture,如果事件将在捕获阶段发生,则事件的默认值将在冒泡阶段发生。如果我们单击该元素,它会记录控制台上的元素。这是事件捕获。
9.event.preventDefault()event.stopPropagation()方法有什么区别?
event.preventDefault()方法防止元素的默认行为。如果在元素中使用它可以防止form它从提交。如果在元素中使用它可以防止anchor它从导航。如果用在一个它可以防止contextmenuevent.stopPropagation()它从显示或展示。当方法停止传播事件或阻止事件发生在冒泡或捕获阶段
10.如何知道元素中是否使用event.preventDefault()方法?
我们可以在事件对象中使用event.defaultPrevented属性。它返回一个boolean,指示是否在特定元素中调用event.preventDefault()。
11.为什么obj.someprop.x会抛出错误?

显然,由于我们试图访问xsomeprop属性中具有undefined值的属性。记住,本身不存在的对象中的属性,其原型的默认值为undefined,undefined属性就是没有属性。
12、什么是event.target?
最简单的术语来说,event.target是发生事件的元素或触发事件的元素。
HTML标记示例

示例JavaScript

如果你单击按钮,它将记录按钮标记,即使我们在最外层的div上附加事件,它也会始终记录按钮,以便我们可以得出结论,event.target是触发事件的元素。
13.什么是event.currentTarget?
event.currentTarget是我们显式附加事件处理程序的元素。
HTML标记示例

稍微改变我们的JS

如果你单击按钮,即使我们单击按钮,它也会记录最外层的标记。在本例中,我们可以得出结论,event.currentTarget是我们附加事件处理程序的元素。
14.和=有什么区别?
(抽象等式)和=(严格等式)的区别在于,在强制后按值进行比较,=按值和类型进行比较,而不受coercion
让我们更深入地挖掘==。所以首先让我们谈谈coercion。
coercion是将一个值转换为另一种类型的过程。在这种情况下,确实隐含了coercion。在比较这两个值之前,有一些条件需要执行。
假设我们必须比较x == y值。
如果x和y有相同的类型。然后将它们与===运算符进行比较。
如果x为null,yundefined,则返回true。
如果xundefined,并且y为null,则返回true。
如果x是类型number,而y是类型string,则返回x == toNumber(y)
如果x是类型string,y是类型number,那么返回toNumber(x) == y。
如果x是boolean类型,则返回toNumber(x) == y。
如果y是boolean类型,则返回x == toNumber(y)
如果x是string,symbol或numbery是类型object,则返回x == toPrimitive(y)
如果x是任一object,x是任一string,symbol,则返回toPrimitive(x) == y。
返回false。
注意:toPrimitive首先使用valueOf方法,然后在对象中使用toString方法来获取该对象的原始值。

这些示例都返回true。
第一个例子是条件一,因为x和y具有相同的类型和值。
第二个例子是条件四y比较之前转换为number。
第三个例子是条件二。
第四个例子是条件7,因为y是boolean。
第五个例子是条件八。数组使用返回1,2的toString()方法转换为string。
最后一个例子是条件十。使用toString()方法将对象转换为返回[object Object]的string

15.为什么在JS中比较两个相似的对象时回 false?
假设我们下面有一个例子。

JavaScript对对象和原始值的比较不同。在原始值中,它们按值比较,而在对象中,它通过引用或存储变量的内存中的地址来比较它们。这就是为什么first console console.log语句返回false,第二个console.log语句返回true。a和c具有相同的引用,而a和b则不返回true。
16. 双非运算符是做什么的?
双非运算符将右侧的值强制转换为布尔值。基本上,这是一种将值转换为布尔值的花哨方式。

17.如何在一行中计算多个表达式?
我们可以使用逗号运算符在一行中计算多个表达式。它从左到右计算,并返回右侧或最后一个操作数最后一个项目的值

如果你记录x的值,那就是27。首先,我们将x的值增加为6,然后我们调用函数addFive(6),传递6作为参数,并将结果分配给x,x的新值为11。之后,我们将x的当前值乘以2,并将其分配给x,更新的x值为22。然后,我们将x的当前值减去5,并将结果分配给x,更新后的值为17。最后,我们将x的值增加10,并将更新的值分配给x,现在x的值将是27
18.什么是Hoisting(提升)?
Hoisting是一个术语,用于描述变量和函数移动到其(全局或函数)范围的顶部,我们在哪里定义该变量或函数。
好的,为了理解Hoisting,我必须解释执行上下文。
执行上下文是当前正在执行的“代码环境”。执行上下文有两个阶段编译和执行。
编译-在此阶段,它获取所有函数声明,并将其提升到其范围的顶部,以便我们稍后可以引用它们,并获得所有变量声明(用var关键字声明),并提升它们,并给它们一个未定义的默认值。
执行-在此阶段,它将值分配给之前提升的变量,并执行或调用函数(对象中的方法)。
注意:只有使用var关键字声明的函数声明和变量才被保留,而不是函数表达式或arrow函数,let和const关键字。
好的,假设我们在下面的全局范围内有一个示例代码。

此代码分别记录undefined,1,Hello Mark!
因此,编译阶段如下所示。

例如,我改变了变量和函数调用的分配。
编译阶段完成后,它将开始执行阶段,调用方法并将值分配给变量。

19.什么是范围?
JavaScript中的范围是我们可以有效访问变量或函数的区域。JavaScript有三种类型的作用域。全局作用域、函数作用域和块作用域(ES6)。
- 全局作用域 - 在全局命名空间中声明的变量或函数位于全局作用域中,因此可以在代码中的任何地方访问

- 函数范围 - 函数内声明的变量、函数和参数可以在函数内部访问,但不能在函数外部访问。

块作用域 - 在块{}内声明的变量(let,const)只能在块内访问。

范围也是一组用于查找变量的规则。如果当前范围内不存在一个变量,它会查找并在外部作用域中搜索一个变量,如果再次不存在,它会再次查找,直到到达全局范围,如果变量存在,那么我们可以使用它,如果不存在,它会抛出错误。它搜索最近的变量,一旦找到它,它就会停止搜索或查找。这称为作用域链

20.什么是 Closures(闭包)
Closures只是函数在声明时记住变量和参数在其当前作用域、父函数作用域、父函数作用域上的引用的能力,直到它借助作用域链到达全局作用域。基本上,它是声明函数时创建的 Scope
示例是解释 Closures的好方法。

在这个例子中,当我们声明函数时,全局范围是Closures的一部分。
变量globalVar在图像中没有值的原因,因为该变量的值可能会根据我们调用函数的位置和时间而变化。
但在我们上面的例子中,globalVar变量的值为abc。
让我们举一个复杂的例子。

对此的解释是,当我们调用outerFunc函数并将返回的值innerFunc函数分配给变量x时,outerParam将具有外部值,即使我们为outerVar变量分配一个新的值outer-2,因为重新分配发生在调用outer函数之后,在那个时候,当我们调用outerFunc函数时,它会在范围链中查找outerVar的值,outerVar的值将为“outer”。现在,当我们调用引用innerFunc的x变量时,innerParam将有一个内部值,因为这是我们在调用中传递的值,globalVar变量将具有猜测值,因为在调用x变量之前,我们将为globalVar分配一个新值,在调用x时,范围链中globalVar的值是猜测。
我们有一个例子,表明存在不正确理解Closures的问题。

由于Closures,此代码无法正常工作。
var关键字构成全局变量,当我们推送函数时我们返回全局变量i。因此,当我们在循环后调用该数组中的其中一个函数时,它会记录5,因为我们得到i的当前值是5,我们可以访问它,因为它是一个全局变量。因为闭包会保留该变量的引用,而不是创建时的值。我们可以使用IIFIES或更改var关键字以进行块范围界定来解决这个问题
22. JS由那三部分组成
- ECMAScript
- 文档对象模型(DOM)
- 浏览器对象模型(BOM): 对浏览器窗口进行访问和操作
23. JS有那些内置对象
String Boolean Number Array Object Function Math Date RegExp...
- 常用的:
- Math
- Date
- Array
- String
24. 操作数组的方法有哪些
push 、 pop 、 sort 、 splice、 unshift 、 shift 、reverse 、 concat 、 join、map、filter、every、some、forEach、reduce、isArray、findIndex、find、includes、slice
哪些方法会改变原数组?
push、pop、unshift、shift、sort、reverse、splice
25. JS数据类的检测方式有哪些
typeof() : 对于基本数据类型没问题,遇到引用数据类型就不管用
instanceof() : 只能判断引用数据类型,不能判断基本数据类型
console.log([] instanceof Array);// true
console.log('abc' instanceof String); // false
constructor : 几乎可以判断基本数据类型和引用数据类型;如果声明了一个构造函数,并把它的原型指向了Array
console.log(('abc').constructor === String); // true
let arr = []
console.log(arr.constructor === Array) // true
console.log(arr.constructor === Object) // false
let arr = []
console.log(arr.constructor === Array); // true
Array.prototype.constructor = 'a'
console.log(arr.constructor === Array); // false
Object.prototype.toString.call : 可以完美解决上面的问题
26. 说一下闭包,闭包有什么特点
什么是闭包? 函数嵌套函数,内部函数被外部函数返回并保存下来时,就会产生闭包
特点: 可以重复利用变量,并且这个变量不会污染全局的一种机制;这个变量是一直保存再内存中,不会被垃圾回收机制回收
缺点:闭包较多的时候,会消耗内存,导致页面的性能下降,再IE浏览器中才会导致内存泄漏
使用场景: 防抖、节流,函数嵌套函数避免全局污染的时候
27. 前端的内存泄露有什么理解
JS里已经分配内存地址的对象,但是由于长时间没有释放或者没办法清除,造成长期占用内存的现象,会让内存资源大幅浪费,最终导致运行速度慢,甚至崩溃的情况
垃圾回收机制
因素: 一些未声明直接赋值的变量;一些未清空的定时器;过度的闭包;一些引用元素没有清除
28. 事件委托是什么
又叫事件代理,原理就是利用事件冒泡的机制来实现,也就是说把子元素的事件绑定到了父元素身上
如果子元素阻止了事件冒泡,那么委托也就不成立了
阻止事件冒泡: event.stopPropagation()
addEVentListener('click',函数名,true/false) 默认值false(事件冒泡),true(事件捕获)
好处: 提高性能,减少事件的绑定,也就减少了内存的占用(react的事件就是 事件委托,绑定再root身上)
29. 基本数据类型和引用数据类型的区别
- 基本数据类型:String、number、Boolean、null、undefined
- 基本数据类型保存再栈内存中,保存的就是一个具体的值
- 引用数据类型(复杂数据类型):Object、Function、Array
- 保存在堆内存中,声明一个引用类型的变量,它保存的是引用类型数据的地址
- 假如声明两个引用类型同时指向了一个地址的时候,修改其中一个那么另一个也会改变
30. 说一下原型链
原型就是一个普通对象,它是为构造函数的实例共享属性和方法;所有实例中引用的原型都是同一个对象
使用prototype可以把方法挂在原型上,内存只保存一份
proto 可以理解为指针,实例对象中的属性,指向了构造函数的原型(prototype)
一个实例对象在调用属性和方法的时候,会依次从实例本身、构造函数原型、原型的原型上去查找
31. new 操作符具体做了什么
- 先创建一个空对象
- 把空对象和构造函数通过原型链进行链接
- 把构造函数的this绑定到新的空对象身上
- 根据构造函数返回的类型判断,如果是值类型,则返回对象,如果是引用类型,就要返回这个引用类型
function newFun(fun,...args){
// 1. 先创建一个空对象
let newObj = {}
// 2. 把空对象和构造函数通过原型链进行链接
newObj.__proto__ = fun.prototype
// 3. 把构造函数的this绑定到新的空对象身上
const result = fun.apply(newObj, args)
// 4. 根据构造函数返回的类型判断,如果是值类型,则返回对象,如果是引用类型,就要返回这个引用类型
return result instanceof Object? result : newObj
}
function Person(name){
this.name = name
}
Person.prototype.say = function(){
console.log('say');
}
const son = newFun(Person, '李四')
console.log(son); // Person {name: '李四'}
console.log(son.say()); // say
32. JS是如何实现继承的
- 原型链继承
- 让一个构造函数的原型是另一个类型的实例,那么这个构造函数new 出来的实例就具有该实例的属性
优点: 写法方便简洁,容易理解
缺点: 对象共享所有继承的属性和方法。无法向父类构造函数传参
- 让一个构造函数的原型是另一个类型的实例,那么这个构造函数new 出来的实例就具有该实例的属性
function Parent(){
this.isShow = true
this.info = {
name: 'abc',
age: 19
}
}
function Child(){}
Child.prototype = new Parent()
const child1 = new Child()
child1.info.gender = '男'
console.log(child1.isShow); // true
console.log(child1.info); // {name: 'child1', age: 19}
const child2 = new Child()
child2.info.age = 22
console.log(child2.info.gender); // 男
console.log(child2.info); // {name: 'child1', age: 19}
- 借用构造函数继承
- 在子类型构造函数的内部调用父类型构造函数;使用apply() or call() 方法将父对象的构造函数绑定在子对象上
优点: 解决了原型链实现继承的不能传参的问题和父类的原型共享的问题
缺点: 借用构造函数的缺点是方法都在构造函数中定义,因此无法实现函数复用。
在父类型的原型中定义的方法,对子类型而言也是不可见的,结果所有类型都只能使用构造函数模式
- 在子类型构造函数的内部调用父类型构造函数;使用apply() or call() 方法将父对象的构造函数绑定在子对象上
function Parent(gender){
this.isShow = true
this.info = {
name: 'abc',
age: 19,
gender: gender
}
}
function Child(gender){
Parent.call(this, gender)
}
const child1 = new Child('男')
child1.info.nextName = 'xxxx'
console.log(child1.info); // {name: 'abc', age: 19, gender: '男', nextName: 'xxxx'}
const child2 = new Child('女')
console.log(child2.info); // {name: 'abc', age: 19, gender: '女'}
- 组合式继承
- 将原型链 和 借用构造函数 的组合到块。使用原型链实现对原型属性和方法的继承,而通过借用构造函数来实现对实例属性的继承。这样,既通过在原型上定义方法实现了函数复用,又能保证每个实例都有自己的属性
优点: 就是解决了原型链继承和借用构造函数继承造成的影响
缺点: 是无论什么情况下,都会调用两次构造函数: 一次是在创建子类原型的时候,另一次是在子类构造函数内部
- 将原型链 和 借用构造函数 的组合到块。使用原型链实现对原型属性和方法的继承,而通过借用构造函数来实现对实例属性的继承。这样,既通过在原型上定义方法实现了函数复用,又能保证每个实例都有自己的属性
function Parent(gender){
console.log('调用一次');
this.isShow = true
this.info = {
name: 'abc',
age: 19,
gender: gender
}
}
Parent.prototype.print = function(){ // 使用原型链继承原型上的属性和方法
console.log(this.info.gender,this.info.name);
}
function Child(gender){
Parent.call(this, gender) // 使用构造函数传递参数
}
Child.prototype = new Parent()
const child1 = new Child('男')
child1.info.nextName = 'xxxx'
console.log(child1.info); // {name: 'abc', age: 19, gender: '男', nextName: 'xxxx'}
child1.print() // 男 abc
const child2 = new Child('女')
console.log(child2.info); // {name: 'abc', age: 19, gender: '女'}
child2.print() // 女 abc
- ES6的class类继承
- class 通过extends 关键字实现继承,其实质是先创造出父类的this对象,然后用子类的构造函数修改this;子类的构造方法中必须调用super方法,且只有在调用了super()之后才能使用this,因为子类的this对象是继承父类的this对象,然后对其进行加工,而super方法表示的是父类的构造函数,用来新建父类的this对象
优点:语法简单易懂,操作方便
缺点: 并不是所有的浏览器都支持class关键字
- class 通过extends 关键字实现继承,其实质是先创造出父类的this对象,然后用子类的构造函数修改this;子类的构造方法中必须调用super方法,且只有在调用了super()之后才能使用this,因为子类的this对象是继承父类的this对象,然后对其进行加工,而super方法表示的是父类的构造函数,用来新建父类的this对象
class Animal{
constructor(kind){
this.kind = kind
}
getKind(){
return this.kind
}
}
class Cat extends Animal{
constructor(name) {
super('Cat')
this.name = name
}
getCatInfo(){
console.log(this.name + ':' + super.getKind());
}
}
const cat = new Cat('kind')
cat.getCatInfo() // kind:Cat
33. JS的设计原理是什么
V8引擎
运行上下文: 浏览器里面可以调用的api(DOM,window)、任务队列
调用栈: 单线程
事件循环
回调
34. JS种关于this指向的问题
- 全局对象中的this指向: 指向的是window
- 全局作用域或者普通函数中的this: 指向全局window
- this永远指向最后调用它的那个对象: 在不是箭头函数的情况下
- new 关键词改变了this的指向
- apply,call,bind : 可以改变this指向,不是箭头函数
- 箭头函数中的this: 它的指向在定义的时候就已经确定了;箭头函数本身没有this,要看外层是否有函数
- 匿名函数中的this: 永远指向window,匿名函数的执行环境具有全局性,因此this指向window
35. script标签里的async和defer有什么区别
当没有async和defer这两个属性的时候,浏览器会立刻加载并执行指定的脚本
有async: 加载和渲染后面元素的过程将和script的加载和执行并行进行(异步)
有defer: 加载和渲染后面元素的过程将和script的加载并行进行(异步),但是它的执行事件要等所有元素解析完成之后才会执行
defer会保证脚本的顺序,async不会

蓝色线代表网络读取,红色线代表执行时间,这俩都是针对脚本的;绿色线代表 HTML 解析
36. setTimeout最小执行时间是多少
HTML5规定的内容:
setTimeout最小执行时间是4ms
setInterval最小执行时间是10ms
37. ES6 和 ES5有什么区别
JS的组成: ECMAScript BOM DOM
ES5: ESMAScript5,2009年ECMAScript的第五次修订,ECMAScript2009
ES6:ESMAScript6,2015年ECMAScript的第六次修订,ECMAScript2016
ES6是ES5的下一个版本
38. ES6 的新特性有哪些
- 新增块级作用域(let,const)
- 不存在变量提升
- 存在暂时性死区的问题
- 块级作用域的内容
- 不能在同一个作用域内重复声明
- 新增了定义类的语法糖(class)
- 新增了一种基本数据类型(symbol)
- 新增了解构赋值
- 从数组或者对象中取值,然后给变量赋值
- 新增了函数参数的默认值
- 给数组新增了API
- 对象和数组新增了扩展运算符
- Promise
- 解决回调地狱的问题
- 自身有all,reject,resolve,race方法
- 原型上有then,catch
- 把异步操作队列化
- 三种状态: pending初始状态,fulfilled操作成功,rejected操作失败
- async await
- 同步代码做异步的操作,两者必须搭配使用
- async 表明函数内有异步操作,调用函数会返回promise
- await 是组成async的表达式,结果是取决于它等待的内容,如果是promise那就是promise的结果,如果是普通函数就进行链式调用
- await 后的promise如果是reject状态,那么整个async函数都会中断,后面的代码不执行
- 新增了模块化(import ,export)
- 新增了set和map数据结构
- set就是不重复
- map key的类型不受限制
- 新增了generator
- 新增了箭头函数
- 不能作为构造函数使用,不能用new 关键字,箭头函数没有原型
- 箭头函数没有arguments
- 箭头函数不能用call,apply,bind去改变this的指向
- this指向外层第一个函数的this
39. call,apply,band三者有什么区别
-
都是改变this指向和函数的调用,call和apply的功能类似,只是传参的方法不同
-
call方法传的是一个参数列表
-
apply传递的是一个数组
-
bind 传参后不会立刻执行,会返回一个改变了this指向的函数,这个函数还是可以传参的,bind()()
-
call 方法的性能要比apply好一些,所以call用的更多一点
40. 用递归的时候有没有遇到什么问题
如果一个函数内可以调用函数本身,那么这个就是递归函数
特别注意: 写递归必须要有终止条件 return
41. 如何实现一个深拷贝
深拷贝就是完全拷贝一份新的对象,会在堆内存中开辟新的空间,拷贝的对象被修改后,原对象不受影响,主要针对的是引用数据类型
- 扩展运算符
- 缺点: 这个方法只能实现第一层,当有多层的时候还是浅拷贝
let obj = {
name: '张三',
age: 19
}
let obj1 = {...obj}
obj1.name = '李四'
console.log(obj,obj1);
- JSON.parse(JSON.stringify)
- 缺点: 该方法并不会拷贝内部函数
let obj = {
name: '张三',
age: 19,
say(){
console.log('say hello');
}
}
let obj1 = JSON.parse(JSON.stringify(obj))
obj1.name = '李四'
console.log(obj,obj1);
- 利用递归函数实现
let obj2 = {
name: '张三',
age: 19,
say(){
console.log('say hello');
},
arr: [[1,2],3,4]
}
function cloneFn(origin,deep){
let obj = {}
if(origin instanceof Array){
obj = []
}
for (let key in origin){
if(origin.hasOwnProperty(key)){
if(!!deep){
let value = origin[key]
obj[key] = (typeof value === 'object' && value !== null)?cloneFn(value,deep):value
}else{
obj[key] = origin[key]
}
}
}
return obj
}
let obj1 = cloneFn(obj2,true)
obj1.obj1.arr[0].push(100)
console.log(obj2,obj1);
42. 说一下事件循环
JS是一个单线程的脚本语言
主线程 , 执行栈, 任务队列 , 宏任务 , 微任务
主线程先执行同步任务,然后才去执行任何队列里的任务,如果在执行宏任务之前有微任务,那么要先执行微任务;全部执行完之后等待主线程的调用,调用完之后再去任务队列中查看是否有异步任务,这样一个循环往复的过程就是事件循环。
43. ajax是什么,怎么实现的
是创建交互式网页应用的网页开发技术
- 再不重新加载整个网页的前提下,与服务器交换数据并更新部分内容
实现: 通过XMLhttpRequest对象向服务器发送异步请求,然后从服务器拿到数据,最后通过js操作DOM更新页面
44. get和post有什么区别
- get一般是获取数据,post一般用来提交数据
- get参数会放在url上,所以安全性比较差,post是放在body中
- get请求刷新服务器或退回是没有影响的,post请求退回时会重新提交数据
- get请求时会被缓存,post请求不会被缓存
- get请求会被保存在浏览器历史记录中,post不会
- get请求只能进行url编码,post请求支持很多(文件,表单等)
45. Promise的内部原理是什么?它的优缺点是什么?
Promise对象,封装了一个异步操作并且还可以获取成功或失败的结果
Promise主要就是解决 回调地狱的问题,之前如果异步任务比较多,同时他们之间有相互依赖的关系,就只能使用回调函数处理,这样就容易形成回调地狱,代码的可读性差,可维护性也很差
有三种状态: pedning初始状态 fulfilled成功状态 rejected失败状态
状态改变只要两种情况:
- pending -> fulfilled;pending -> rejected 一旦发生,状态就会凝固,不会再变
首先就是我们无法取消promise,一旦创建它就会立即执行,不能中途取消
如果不设置回调,promise内部抛出的错误就无法反馈到外面
若当前处于pending状态时,无法得知目前在哪个阶段
原理:
构造一个promise实例,实例需要传递函数的参数,这个函数有两个形参,分别都是函数类型,一个是resolve,一个是reject
promise身上才还有then方法,这个方法就是用指定状态改变时的确定操作,resolve是执行第一个函数,reject是执行第二个函数
46. promise和async await的区别是什么
- 都是处理异步请求的方式
- promise是es6,async await 是es6的语法
- async await是基于promise实现的,他和promise都是非阻塞性的
优缺点:
1. promise是返回对象我们要用then,catch方法处理和捕获异常,并且书写方式是链式,容易造成代码重叠,不好维护,async await是通过tra catch进行捕获异常
2. async await最大的有点就是能让代码看起来像同步一样,只要遇到await就会立即返回结果,然后再执行后面的操作,promise.then() 的方式返回,会出现请求还没返回,就执行了后面的操作
47. 浏览器的储存方法有哪些
- cookies:请求头自带cookies,存储量小,资源浪费,使用麻烦
- localstorage : H5加入的以键值对为标准的方式;操作方便,永久存储
- sessionstorage : 当前页面关闭后就会立即清理,回话级别的存储方式
- indexedDB: H5标准的储存方式,他是以键值对进行存储,可以快速读取,适合WEB场景
48. 页面渲染的过程是怎么样的
DNS解析 -> 建立TCP连接 -> 发送HTTP请求 -> 服务器处理请求 -> 渲染页面(浏览器会获取HTML和CSS的资源,然后把HTML解析成DOM树,再把CSS解析成CSSOM,把DOM和CSSOM合并为渲染树,最后绘制到页面 ) -> 断开TCP连接
49. DOM树和渲染树有什么区别
DOM树是和HTML标签一一对应的,包括head和隐藏元素
渲染树是不包含head和隐藏元素
50.精灵图和base64的区别是什么
精灵图:把多张小图整合到一张大图上,利用定位的一些属性把小图显示在页面上,当访问页面可以减少请求,提高加载速度
base64: 传输8Bit字节代码的编码方式,把原本二进制形式转为64个字符的单位,最后组成字符串
base64 是会和html css一起下载到浏览器中,减少请求,减少跨域问题,但是base64转换后的体积会很大
51. svg格式了解多少?
基于XML语法格式的图像格式,可缩放矢量图,SVG是属于对图像形状的描述,本质是文本文件,体积小,并且不管放大多少倍都不会失真
SVG可直接插入页面中。成为DOM的一部分,然后用JS或CSS进行操作
可以作为标签使用
可作为文件被引入
52. 了解过JWT吗
JSON WEB TOKEN 通过JSON形式作为WEB应用中的令牌,可以在各方之间安全的把信息作为JSON对象传输
信息传输,授权
53. npm的底层环境是什么
node package manger,node的包管理和分发工具,已经成为分发node模块的标准,是JS的运行环境
npm的组成: 网站、注册表、命令行工具
54. 说一下浏览器的缓存策略
强缓存(本地缓存)、协商缓存(弱缓存)
强缓: 不发起请求,直接使用缓存里的内容,浏览器吧JS,CSS,image等存到内存中,下次用户访问直接从内存中取,提高性能
协缓: 需要向后台发请求,通过判断来决定是否使用协商缓存,如果请求内容没有变化,则返回304,浏览器就用缓存里的内容
55. 什么是同源策略
协议 、 子域名、 主域名 、 端口号、 资源
协议,域名,端口都要相同,一旦不同就会产生跨域
56. 防抖和节流是什么
都是应对页面中频繁触发事件的优化方案
防抖: 避免事件重复触发
节流:把频繁触发的事件减少,每隔一段时间执行
57. 什么是json?
JSON是一种纯字符串形式的数据,它本身不提供任何方法,适合在网络中进行传输
JSON数据存储在 .json文件中
也可以吧JSON数据以字符串的形式保存在数据库,cookies中
js提供了两个方法
58. 当数据没有请求过来的时候,怎么做?
可以在渲染数据时给一个默认值
也可以通过if判断
59. 有没有做过无感登录?
- 在响应中拦截,判断token返回过期后,调用刷新token的接口
- 后端返回过期时间,前端判断token的过期时间,去调用刷新token的接口
- 使用定时器
59. 大文件上传是怎么做的?
分片上传:
1. 把需要上传的文件按照一定得规则,分割成相同大小的数据块
2. 初始化一个分片上传任务,返回本次分片上传的唯一标识
3. 按照一定得规则吧各个数据块上传
4. 发送完成后,服务端会判断数据上传的完整性,如果完整,那么就会把数据库合并成原始文件
断点续传:
服务端返回,从哪里开始 浏览器自己处理

浙公网安备 33010602011771号