代码随想录算法Day18 | 513.找树左下角的值 , 112. 路径总和 ,113.路径总和ii , 106.从中序与后序遍历序列构造二叉树 , 105.从前序与中序遍历序列构造二叉树
513.找树左下角的值
题目链接:513. 找树左下角的值 - 力扣(LeetCode)
题目
给定一个二叉树的 根节点 root,请找出该二叉树的 最底层 最左边 节点的值。
假设二叉树中至少有一个节点。
示例 1:

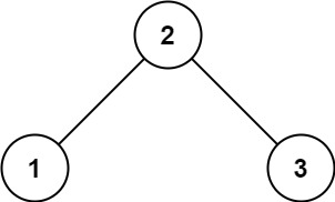
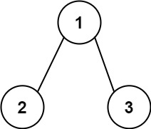
输入: root = [2,1,3]
输出: 1
示例 2:

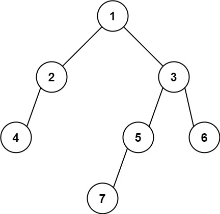
输入: [1,2,3,4,null,5,6,null,null,7] 输出: 7
思路
这道题要找深度最大的叶子节点。
那么如何找最左边的呢?可以使用前序遍历(当然中序,后序都可以,因为本题没有 中间节点的处理逻辑,只要左优先就行),保证优先左边搜索,然后记录深度最大的叶子节点,此时就是树的最后一行最左边的值。
代码
1 // 递归法 2 class Solution { 3 private int Deep = -1; 4 private int value = 0; 5 public int findBottomLeftValue(TreeNode root) { 6 value = root.val; 7 findLeftValue(root,0); 8 return value; 9 } 10 11 private void findLeftValue (TreeNode root,int deep) { 12 if (root == null) return; 13 if (root.left == null && root.right == null) { 14 if (deep > Deep) { 15 value = root.val; 16 Deep = deep; 17 } 18 } 19 if (root.left != null) findLeftValue(root.left,deep + 1); 20 if (root.right != null) findLeftValue(root.right,deep + 1); 21 } 22 }
1 //迭代法 2 class Solution { 3 4 public int findBottomLeftValue(TreeNode root) { 5 Queue<TreeNode> queue = new LinkedList<>(); 6 queue.offer(root); 7 int res = 0; 8 while (!queue.isEmpty()) { 9 int size = queue.size(); 10 for (int i = 0; i < size; i++) { 11 TreeNode poll = queue.poll(); 12 if (i == 0) { 13 res = poll.val; 14 } 15 if (poll.left != null) { 16 queue.offer(poll.left); 17 } 18 if (poll.right != null) { 19 queue.offer(poll.right); 20 } 21 } 22 } 23 return res; 24 } 25 }
112. 路径总和
题目
给你二叉树的根节点 root 和一个表示目标和的整数 targetSum 。判断该树中是否存在 根节点到叶子节点 的路径,这条路径上所有节点值相加等于目标和 targetSum 。如果存在,返回 true ;否则,返回 false 。
叶子节点 是指没有子节点的节点。
示例 1:

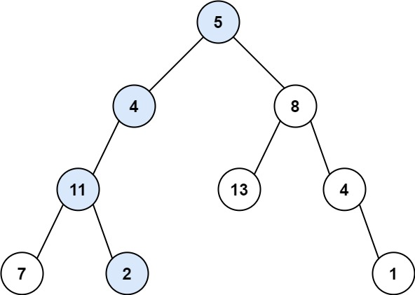
输入:root = [5,4,8,11,null,13,4,7,2,null,null,null,1], targetSum = 22 输出:true 解释:等于目标和的根节点到叶节点路径如上图所示。
示例 2:

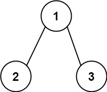
输入:root = [1,2,3], targetSum = 5 输出:false 解释:树中存在两条根节点到叶子节点的路径: (1 --> 2): 和为 3 (1 --> 3): 和为 4 不存在 sum = 5 的根节点到叶子节点的路径。
示例 3:
输入:root = [], targetSum = 0 输出:false 解释:由于树是空的,所以不存在根节点到叶子节点的路径。
思路
递归法: 前序遍历二叉树,记录下所有的路径,每遇到一个节点就将目标值减去节点值,如果遍历到的节点没有左右孩子则此时为路径末尾,判断值是否为0。
代码
1 class solution { 2 public boolean haspathsum(treenode root, int targetsum) { 3 if (root == null) { 4 return false; 5 } 6 targetsum -= root.val; 7 // 叶子结点 8 if (root.left == null && root.right == null) { 9 return targetsum == 0; 10 } 11 if (root.left != null) { 12 boolean left = haspathsum(root.left, targetsum); 13 if (left) { // 已经找到 14 return true; 15 } 16 } 17 if (root.right != null) { 18 boolean right = haspathsum(root.right, targetsum); 19 if (right) { // 已经找到 20 return true; 21 } 22 } 23 return false; 24 } 25 } 26 27 // lc112 简洁方法 28 class solution { 29 public boolean haspathsum(treenode root, int targetsum) { 30 31 if (root == null) return false; // 为空退出 32 33 // 叶子节点判断是否符合 34 if (root.left == null && root.right == null) return root.val == targetsum; 35 36 // 求两侧分支的路径和 37 return haspathsum(root.left, targetsum - root.val) || haspathsum(root.right, targetsum - root.val); 38 } 39 }
1 class solution { 2 public boolean haspathsum(treenode root, int targetsum) { 3 if (root == null) { 4 return false; 5 } 6 targetsum -= root.val; 7 // 叶子结点 8 if (root.left == null && root.right == null) { 9 return targetsum == 0; 10 } 11 if (root.left != null) { 12 boolean left = haspathsum(root.left, targetsum); 13 if (left) { // 已经找到 14 return true; 15 } 16 } 17 if (root.right != null) { 18 boolean right = haspathsum(root.right, targetsum); 19 if (right) { // 已经找到 20 return true; 21 } 22 } 23 return false; 24 } 25 } 26 27 // lc112 简洁方法 28 class solution { 29 public boolean haspathsum(treenode root, int targetsum) { 30 31 if (root == null) return false; // 为空退出 32 33 // 叶子节点判断是否符合 34 if (root.left == null && root.right == null) return root.val == targetsum; 35 36 // 求两侧分支的路径和 37 return haspathsum(root.left, targetsum - root.val) || haspathsum(root.right, targetsum - root.val); 38 } 39 }
113.路径总和ii
题目链接:Loading Question... - 力扣(LeetCode)
题目
给你二叉树的根节点 root 和一个整数目标和 targetSum ,找出所有 从根节点到叶子节点 路径总和等于给定目标和的路径。
叶子节点 是指没有子节点的节点。
示例 1:

输入:root = [5,4,8,11,null,13,4,7,2,null,null,5,1], targetSum = 22 输出:[[5,4,11,2],[5,8,4,5]]
示例 2:

输入:root = [1,2,3], targetSum = 5
输出:[]
示例 3:
输入:root = [1,2], targetSum = 0
输出:[]
思路
113.路径总和ii要遍历整个树,找到所有路径,所以递归函数不要返回值!
代码
1 class solution { 2 public List<List<Integer>> pathsum(TreeNode root, int targetsum) { 3 List<List<Integer>> res = new ArrayList<>(); 4 if (root == null) return res; // 非空判断 5 6 List<Integer> path = new LinkedList<>(); 7 preorderdfs(root, targetsum, res, path); 8 return res; 9 } 10 11 public void preorderdfs(TreeNode root, int targetsum, List<List<Integer>> res, List<Integer> path) { 12 path.add(root.val); 13 // 遇到了叶子节点 14 if (root.left == null && root.right == null) { 15 // 找到了和为 targetsum 的路径 16 if (targetsum - root.val == 0) { 17 res.add(new ArrayList<>(path)); 18 } 19 return; // 如果和不为 targetsum,返回 20 } 21 22 if (root.left != null) { 23 preorderdfs(root.left, targetsum - root.val, res, path); 24 path.remove(path.size() - 1); // 回溯 25 } 26 if (root.right != null) { 27 preorderdfs(root.right, targetsum - root.val, res, path); 28 path.remove(path.size() - 1); // 回溯 29 } 30 } 31 }
1 // 解法2 2 class Solution { 3 List<List<Integer>> result; 4 LinkedList<Integer> path; 5 public List<List<Integer>> pathSum (TreeNode root,int targetSum) { 6 result = new LinkedList<>(); 7 path = new LinkedList<>(); 8 travesal(root, targetSum); 9 return result; 10 } 11 private void travesal(TreeNode root, int count) { 12 if (root == null) return; 13 path.offer(root.val); 14 count -= root.val; 15 if (root.left == null && root.right == null && count == 0) { 16 result.add(new LinkedList<>(path)); 17 } 18 travesal(root.left, count); 19 travesal(root.right, count); 20 path.removeLast(); // 回溯 21 } 22 }
106.从中序与后序遍历序列构造二叉树
题目链接:106. 从中序与后序遍历序列构造二叉树 - 力扣(LeetCode)
题目
给定两个整数数组 inorder 和 postorder ,其中 inorder 是二叉树的中序遍历, postorder 是同一棵树的后序遍历,请你构造并返回这颗 二叉树 。
示例 1:

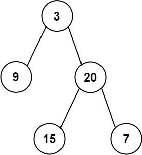
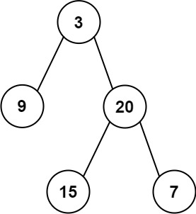
输入:inorder = [9,3,15,20,7], postorder = [9,15,7,20,3] 输出:[3,9,20,null,null,15,7]
示例 2:
输入:inorder = [-1], postorder = [-1]
输出:[-1]
思路
想要用中序和后序遍历序列确定一个唯一的二叉树,就要每次以后序数组的最后一个元素为切割点,将中序数组分割成左右两份,再根据中序数组的分割情况来切割后序数组,如此反复,每次的切割点就是中间的节点。

那么代码应该怎么写呢?
说到一层一层切割,就应该想到了递归。
来看一下一共分几步:
-
第一步:如果数组大小为零的话,说明是空节点了。
-
第二步:如果不为空,那么取后序数组最后一个元素作为节点元素。
-
第三步:找到后序数组最后一个元素在中序数组的位置,作为切割点
-
第四步:切割中序数组,切成中序左数组和中序右数组 (顺序别搞反了,一定是先切中序数组)
-
第五步:切割后序数组,切成后序左数组和后序右数组
-
第六步:递归处理左区间和右区间
如何切割数组?
首先要切割中序数组,为什么先切割中序数组呢?
切割点在后序数组的最后一个元素,就是用这个元素来切割中序数组的,所以必要先切割中序数组。
中序数组相对比较好切,找到切割点(后序数组的最后一个元素)在中序数组的位置,然后切割。
接下来就要切割后序数组了。
首先后序数组的最后一个元素指定不能要了,这是切割点 也是 当前二叉树中间节点的元素,已经用了。
后序数组的切割点怎么找?
后序数组没有明确的切割元素来进行左右切割,不像中序数组有明确的切割点,切割点左右分开就可以了。
此时有一个很重的点,就是中序数组大小一定是和后序数组的大小相同的(这是必然)。
中序数组我们都切成了左中序数组和右中序数组了,那么后序数组就可以按照左中序数组的大小来切割,切成左后序数组和右后序数组。
代码
1 class Solution { 2 Map<Integer, Integer> map; // 方便根据数值查找位置 3 public TreeNode buildTree(int[] inorder, int[] postorder) { 4 map = new HashMap<>(); 5 for (int i = 0; i < inorder.length; i++) { // 用map保存中序序列的数值对应位置 6 map.put(inorder[i], i); 7 } 8 9 return findNode(inorder, 0, inorder.length, postorder,0, postorder.length); // 前闭后开 10 } 11 12 public TreeNode findNode(int[] inorder, int inBegin, int inEnd, int[] postorder, int postBegin, int postEnd) { 13 // 参数里的范围都是前闭后开 14 if (inBegin >= inEnd || postBegin >= postEnd) { // 不满足左闭右开,说明没有元素,返回空树 15 return null; 16 } 17 int rootIndex = map.get(postorder[postEnd - 1]); // 找到后序遍历的最后一个元素在中序遍历中的位置 18 TreeNode root = new TreeNode(inorder[rootIndex]); // 构造结点 19 int lenOfLeft = rootIndex - inBegin; // 保存中序左子树个数,用来确定后序数列的个数 20 root.left = findNode(inorder, inBegin, rootIndex, 21 postorder, postBegin, postBegin + lenOfLeft); 22 root.right = findNode(inorder, rootIndex + 1, inEnd, 23 postorder, postBegin + lenOfLeft, postEnd - 1); 24 25 return root; 26 } 27 }
105.从前序与中序遍历序列构造二叉树
题目链接:105. 从前序与中序遍历序列构造二叉树 - 力扣(LeetCode)
题目
给定两个整数数组 preorder 和 inorder ,其中 preorder 是二叉树的先序遍历, inorder 是同一棵树的中序遍历,请构造二叉树并返回其根节点。
示例 1:

输入: preorder = [3,9,20,15,7], inorder = [9,3,15,20,7] 输出: [3,9,20,null,null,15,7]
示例 2:
输入: preorder = [-1], inorder = [-1]
输出: [-1]
思路
跟上题同理。
代码
1 class Solution { 2 Map<Integer, Integer> map; 3 public TreeNode buildTree(int[] preorder, int[] inorder) { 4 map = new HashMap<>(); 5 for (int i = 0; i < inorder.length; i++) { // 用map保存中序序列的数值对应位置 6 map.put(inorder[i], i); 7 } 8 9 return findNode(preorder, 0, preorder.length, inorder, 0, inorder.length); // 前闭后开 10 } 11 12 public TreeNode findNode(int[] preorder, int preBegin, int preEnd, int[] inorder, int inBegin, int inEnd) { 13 // 参数里的范围都是前闭后开 14 if (preBegin >= preEnd || inBegin >= inEnd) { // 不满足左闭右开,说明没有元素,返回空树 15 return null; 16 } 17 int rootIndex = map.get(preorder[preBegin]); // 找到前序遍历的第一个元素在中序遍历中的位置 18 TreeNode root = new TreeNode(inorder[rootIndex]); // 构造结点 19 int lenOfLeft = rootIndex - inBegin; // 保存中序左子树个数,用来确定前序数列的个数 20 root.left = findNode(preorder, preBegin + 1, preBegin + lenOfLeft + 1, 21 inorder, inBegin, rootIndex); 22 root.right = findNode(preorder, preBegin + lenOfLeft + 1, preEnd, 23 inorder, rootIndex + 1, inEnd); 24 25 return root; 26 } 27 }
思考
前序和中序可以唯一确定一棵二叉树。
后序和中序可以唯一确定一棵二叉树。
那么前序和后序可不可以唯一确定一棵二叉树呢?
前序和后序不能唯一确定一棵二叉树!,因为没有中序遍历无法确定左右部分,也就是无法分割。

浙公网安备 33010602011771号